728x90
반응형
· 적합된 반응변수(yhet)와 잔차 (e) 구하기
적합 반응변수의 값 yhet = b0 + b1 * xi 는 자료들이 회귀선에 적합할 때 설명변수의 값 xi에 대한 반응변수의 기댓값으로 yhet을 평균값 또는 x = xi 일때 반응변수의 기댓값이라고 한다.
이를 아래의 수식과 같이 표현할 수 있다.
![]() |
R에서 추정식과 잔차를 구한다면 다음과 같다. (오차는 모집단에서 추출했을 시, 잔차는 표본에서 추출했을 시 표현)
전에 예시로 사용했던 숙련기간에 따른 실패 횟수를 이용해서 예시를 든다.
year = c(1, 9, 1, 4, 3, 3, 7, 9, 7, 6, 6, 1) # 숙련기간
fail = c(9, 1, 8 ,7, 6, 7, 6, 5, 5, 6, 7, 4) # 실패
reg = lm(fail ~ year)
reg # 7.8626 -0.4097
yhet = 7.8626 - 0.4097 * year # 추정된 적합 회귀 식
yhet
residuals(reg)
sum(reg$residuals) # 잔차의 합은 0으로 근접 : 6.661338e-16
따라서 출력의 결과는 다음과 같다.
| 1 2 3 4 5 1.547073791 -3.175572519 0.547073791 0.776081425 -0.633587786 6 7 8 9 10 0.366412214 1.005089059 0.824427481 0.005089059 0.595419847 11 12 1.595419847 -3.452926209 |
12개의 잔차 값들, 잔차의 합은 항상 0이다.
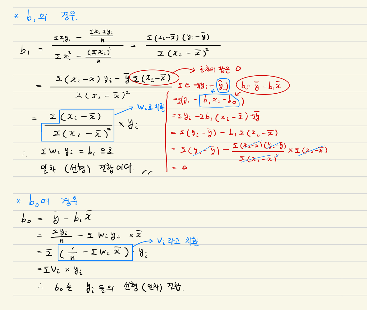
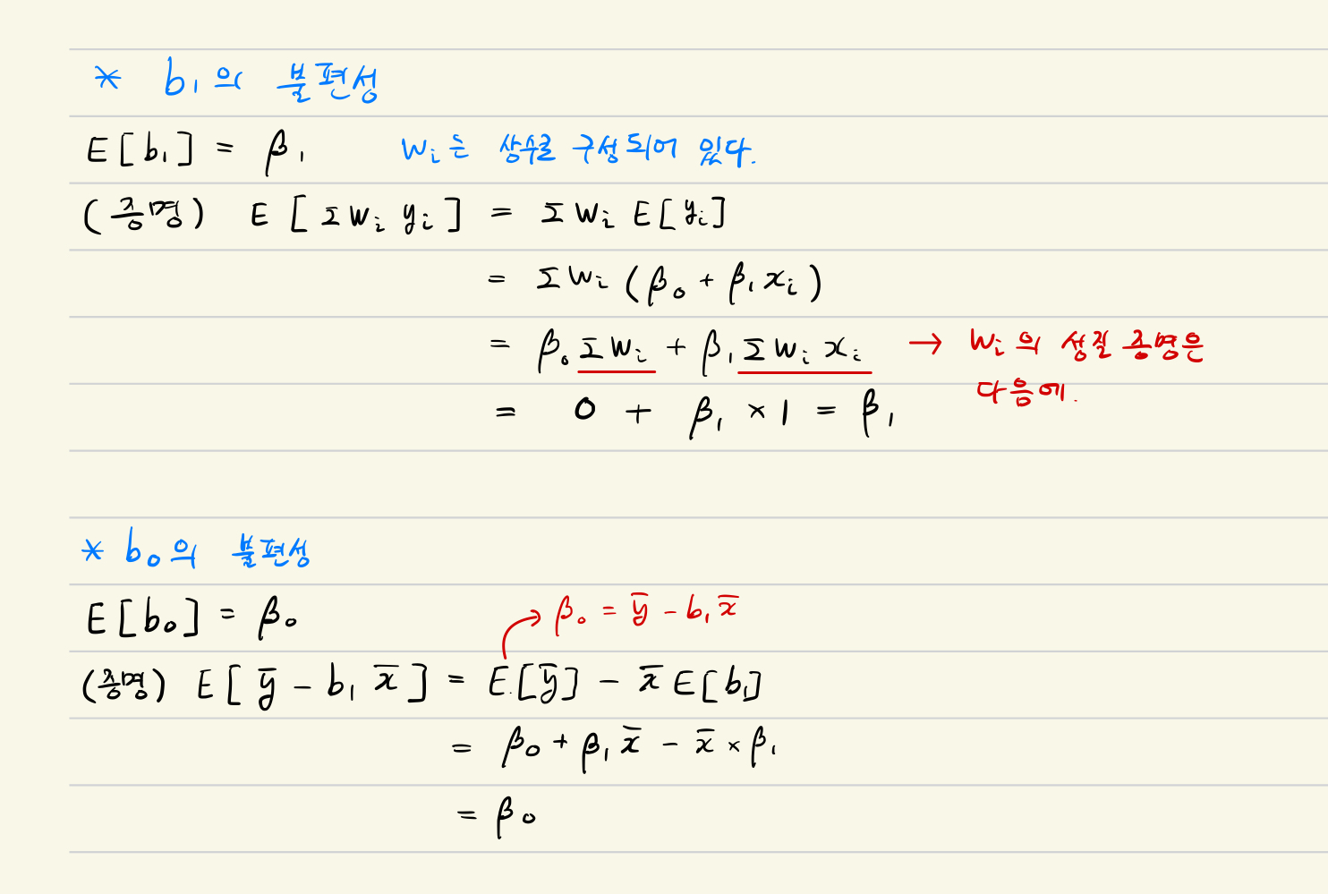
· 최소 제곱 추정량과 적합 회귀 직선의 특징
최소 제곱 추정량에 의한 회귀 계수 추정량인 (b0, b1)은 (β0, β1)의 최량 선형 불편 추정량이다.
1. b0와 b1은 yi의 선형(일차) 결합이다.
![]() |
2. b0와 b1의 불편성(불편성이란 편향이 없다는 뜻이다.)
![]() |
3. b0와 b1의 최소 분산성
![]() |
이렇게 B.L.U.E 에 대해서 다루어 보았다.
(Best Linear Unbiased Estimator) - 가장 좋은 선형 불편 추정
선형(Linear), 불편(Unbiased)이면서 추정량 중 효율성(Efficiency)이 높은 추정량이 가장 좋다(Best)는 뜻이다.
728x90
반응형
'통계 > 회귀분석 - R 프로그래밍' 카테고리의 다른 글
| 잔차의 성질과 오차항(ε)의 분산 추정 (0) | 2021.06.20 |
|---|---|
| 가중치 w와 E[y_bar]의 (1) | 2021.06.19 |
| 최소 제곱법 설명 및 증명(추정) (0) | 2021.06.19 |
| 단순 회귀 모형 - 최소 제곱법(최소 자승법) (0) | 2021.06.19 |
| 단순 회귀 모형 - 회귀 직선의 추정식과 잔차(error) (1) | 2021.06.19 |



