728x90
반응형
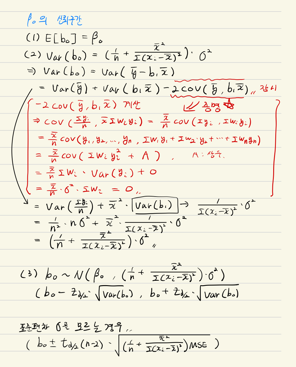
· 절편의 신뢰구간
![]() |
728x90
반응형
'통계 > 회귀분석 - R 프로그래밍' 카테고리의 다른 글
| 평균반응량 E[y] = μ(y, x)의 신뢰구간 (0) | 2021.06.20 |
|---|---|
| β1(기울기)와 β0(절편)의 가설 검정 (0) | 2021.06.20 |
| 기울기(b1)의 신뢰구간 (1) | 2021.06.20 |
| 잔차의 성질과 오차항(ε)의 분산 추정 (0) | 2021.06.20 |
| 가중치 w와 E[y_bar]의 (1) | 2021.06.19 |
