728x90
반응형
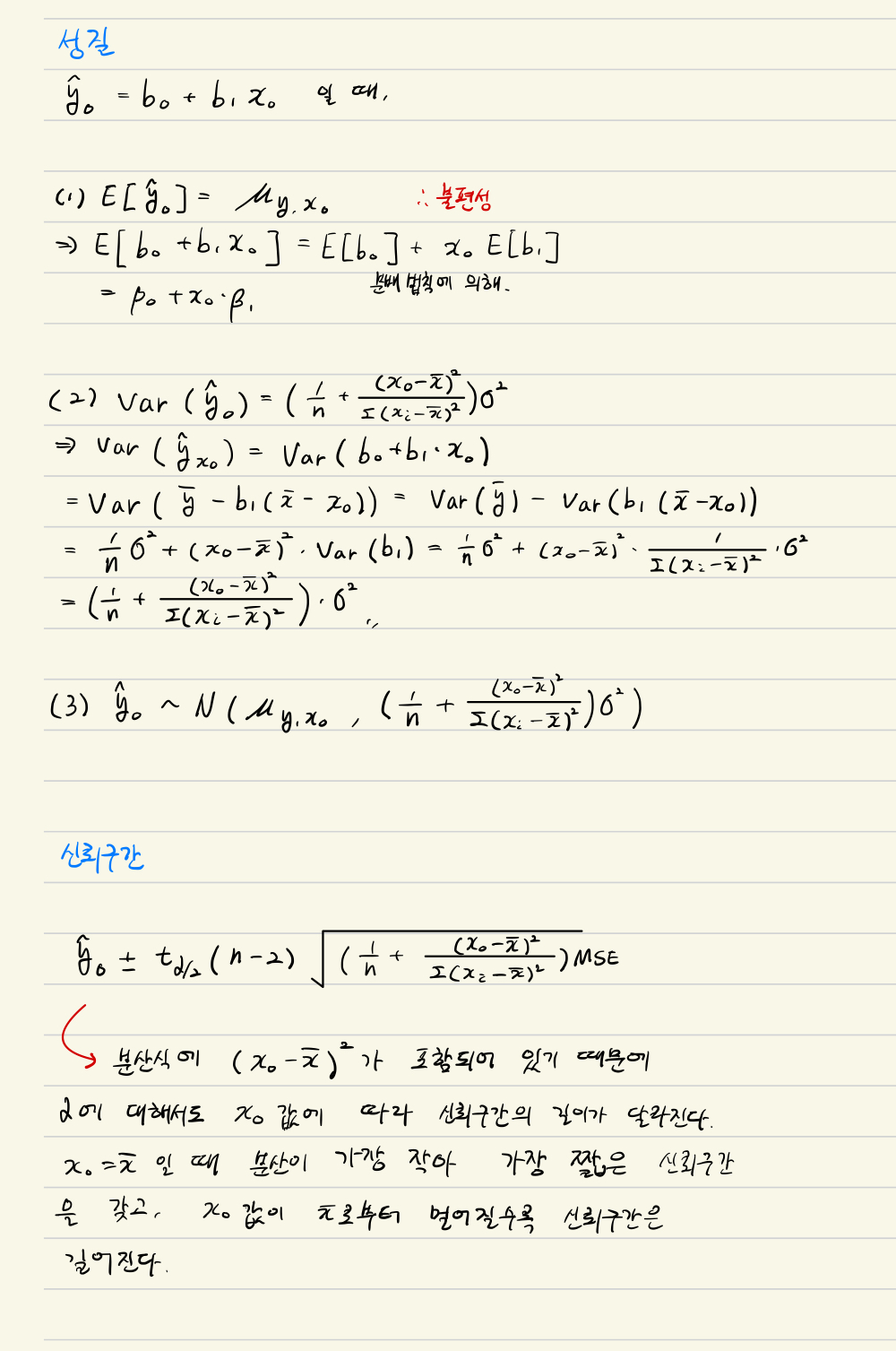
평균반응량 E[y] = μ(y, x)
설명변수 x = x0일 때, 평균 반응량 E[y | x]에 대응되는 독립변수 x의 값이라고 하면 x0는 회귀모형을 적합 시키기 위해 이요된 표본 자료의 범위 내에 있는 값이다. 관련 성질은 다음과 같다.
![]() |
· 새 관찰값에 대한 예측
새로운 자료를 관측한다고 하면, 새 관측치에는 언제나 오차가 포함되어 있다. 따라서 x = x0에서 새로운 관찰값의 반응변수 y0에는 관측오차 σ**2가 더해진다.
그 성질은 다음과 같다.

728x90
반응형
'통계 > 회귀분석 - R 프로그래밍' 카테고리의 다른 글
| 회귀분석 - 결정계수 + 분산분표(R) (0) | 2021.06.21 |
|---|---|
| 회귀분석 - 분산분석 (2) | 2021.06.21 |
| β1(기울기)와 β0(절편)의 가설 검정 (0) | 2021.06.20 |
| 절편(b0)의 신뢰구간 (0) | 2021.06.20 |
| 기울기(b1)의 신뢰구간 (1) | 2021.06.20 |
